网站首页
公司简介
公司简介
企业文化
生产基地
产品中心
OEM诊断试剂
诊断试剂原料
实验设备与耗材
重点推荐
OEM诊断试剂
诊断试剂原料
实验设备与耗材
技术支持
技术支持
技术文档
留言反馈
在线订购
快速订购
订购指南
付款方式
人力资源
用人理念
培训与发展
招聘信息
产品目录
PRODUCT CATALOG
OEM诊断试剂
血脂系列
肝功能系列
肾功能系列
糖代谢系列
胰腺功能系列
心肌功能及心肌酶谱系列
特种蛋白系列
离子、微量无素及其他系列
校准品、质控品系列
正在研发中的产品
诊断试剂原料
生物缓冲液
诊断试剂底物和色原
诊断试剂酶和辅酶
其他化学试剂
抗原抗体
表面活性剂
防腐剂
乳胶微球
实验设备与耗材
层析设备
分离设备
试剂瓶
离心机
移液器
联系方式
CONTACT
电话:021-67827182
021-37631488
销售部:18621789969
传真:021-67827181
http://
www.yesen-bio.com
E-mail:yesenbio@163.com
技术支持:
yesen1998@163.com
(中国)
yesen2014@163.com
(海外)
产品中心
你当前的位置:
网站首页
>>
产品中心
>> a-环糊精
alpha-
环糊精
基本信息
英文名
Cyclohexapentylose
别名
alpha-Cyclodextrin; Cyclohexaamylose
产品名称
alpha-
环糊精
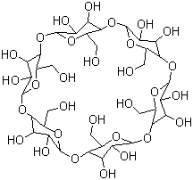
分子结构
分子式
C
36
H
60
O
30
分子量
972.84
CAS
登录号
10016-20-3
EINECS
登录号
233-007-4
安全数据
元升生物科技(上海)有限公司Yesen Biotechnology (shanghai).Co.Ltd All Rights Rveresved.
上海网站建设
备案号:
沪ICP备12006036号